《另一个幸存者》中文版是一款超有趣的轻度肉鸽游戏,大家熟知的《吸血鬼幸存者》里的各类元素,在这款游戏中都会逐一展现。玩家能够开启别具一格的竞技挑战,随时随地投身战斗冒险。它的玩法十分简易,全程无需任何摇杆操作,英雄会自动发起攻击。当英雄击败敌人后,就能获取经验,经验累积到一定数量,英雄便会升级,同时还会随机得到3张1 - 9级的卡片,每张卡片都具备不同的属性加成,玩家可以挑选更加强力的技能,只要在15分钟内成功存活下来,就算通关。
另一个幸存者游戏为玩家提供了攻击、攻速、暴击、增伤、弹射、群攻等8种卡牌类型,经验和祈福可以算作成长类卡牌,其他的都是战力类卡牌,经验祈福主要为玩家提供的是后期能力,而战力卡牌构成了秒伤。所以当玩家的秒伤远高于推荐的时候,选择经验和祈福,否则选秒伤牌,这样才能增大自己的存活几率。

游戏特色
- 不太一样的吸血鬼幸存者like游戏
- 无摇杆,15分钟生存,玩法简单
- 收集繁星,无尽成长
另一个幸存者游戏玩法教程
进入游戏,选择游戏名和角色性别,先创建一个角色;

接着来到游戏首页,若为新手,点击进入新手引导。

游戏开始后,英雄会自动攻击,击败敌人后,英雄会获得经验;

每次击败后英雄就会升级,并会随机获得3张1-9级的卡片,同时也会获得一些集星进度,选择一张卡片继续游戏;

如你如果选择群攻卡片的话,当群攻>=100%时,全功单位数量为:群攻/100向下取整~群攻/100向上取整。群攻上限为1000%,当群攻>=1000%时,剩下的群攻会自动转化为额外伤害,不同的卡片有不同的属性加成;

之后,玩家根据自己的需求,选择不同的卡片,直至游戏结束;

返回主页后,点击开始游戏;

之后玩家就选择自己想要的卡牌,开启收割吧。

另一个幸存者游戏怎么加点

属性包含6维,加点也是平均分配。前期星星不够用,加点有优先级。
个人建议:前期加点顺序是分身1级、进阶1级、属性点、祝福1级、收获1级、剑雨1级,之后再分身、进阶、属性点不断循环。属性点加多少看你自己喜欢,剑雨看你感觉去加。
主要是我只有五百多星星,后期啥样我也猜不到,感觉技能加到5级就够了,后期是加属性为主,属性是六次方,提升幅度太大了。
原因:
属性点问题。属性点是战斗中卡片和羁绊增加的百分比,对战斗提升很大。
这是没加属性的情况下1级暴击是12%


属性加到9级后,此时的暴击1级从12%增加到17.4%,增幅45%。

技能问题。
分身和进阶提升的输出是实打实的,对所有伤害均有加成。
剑雨很容易伤害溢出,触发了也就那么回事,关键是剑雨还存在输出上限,群攻弹射好像最高9次,攻速一秒忘了几下了,反正都有上限,超出上限就只加伤害,而这超出上限加的伤害剑雨享受不到。但前期用还是可以凑合的。
祝福这玩意儿,仅对卡牌存在加成效果,对羁绊并无加成。点1级靠运气就够了,没必要多投入点数。
收获更坑,概率低,加的属性不稳定,点1级拼脸就行。
嗜血加的伤害也是实打实的,但前期实在没啥用,而且加的系数太低了,后面才慢慢追上来。前期不建议加。
最后补充一点,我看到分身是可以触发进阶效果的。不过,分身是否能触发剑雨,我当时没看清楚,但推测应该是可以的。而进阶能不能触发剑雨,我实在无法判断。要是进阶不能触发剑雨,那剑雨的表现就更不尽人意了,它无法作为其他技能以及属性点的系数来相乘,这样损失的伤害可就相当多了。
另一个幸存者游戏攻略
游戏阶段及玩法
学前
如果你还没有通关第一次,这是一个肉鸽选卡游戏,那么主要要讲的是怎么选卡。
1.1秒伤
在战斗界面,如图

这是这个游戏的核心,当你的秒伤大于推荐的时候,基本上意味着你能继续存活,反之大概率很快要死。注意这里秒伤在前推荐在后,5788是秒伤,5281是推荐。于是游戏就变成了如何选牌来让你的秒伤最大化。
1.2选牌原则
总共8种卡牌类型,经验和祈福可以算作成长类卡牌,其他的都是战力类卡牌。经验祈福提供的是后期能力,而战力卡牌构成了秒伤。
大致原则是,当你的秒伤远高于推荐的时候,选择经验和祈福,否则选秒伤牌。选牌时一般选择等级高的卡或者+2的卡,如果都差不多选择牌少的那个。如果秒伤比较吃紧可以去凑羁绊提战力。
这里要提到的是,攻击、攻速、暴击、增伤、弹射、群攻里面没有哪个比哪个好的说法,均衡的加点能最大化秒伤。经验和祈福相比,经验偏重前中期,祈福妥妥大后期,并且祈福是指数级增长的后期牌。
入门
基本上注意以上的点就能够通过第一关了。来到难度5以上,这个游戏就变成了一个养成游戏,你会发现随着难度的提升,基本上打不过。就需要利用星星进行加点,提供场外的天赋能力。
星星比较少,例如50一下的时候,可以选择点技能,收获、分身是比较好的,可以各加一级。
星星多起来的时候,不能都加在技能上,要匀一半给属性点,属性点加点要均衡,各一级。
关于技能的点法我不太清楚,各种的都有。看到论坛里常见的就是分身和进阶各6级,其余的收获和祝福点1级。群里榜一大佬难二都不会好像说平均加,收获和祝福可以多加一点。


这是我目前的点法,大家随意参考一下,关键点是要点属性,均衡点。
进阶
这游戏到了这里就变得非常肝了,你只能不停打,打又打不过,只能混点星星,星星高了才能推后面的关卡。另一方面它的选卡策略其实挺单一的,玩多了就没什么乐趣。它又不像放置游戏,它需要你不停的去战斗,关键战斗也不省心,游戏了自动模式和AI选卡模式,两个模式都挺蠢的,根本走不远,还得手动选卡。
3.1选卡逻辑量化
我想了想选卡逻辑其实不太难的,我在游戏里也找不到可以设置选卡逻辑的地方,于是干脆自己造一个

大致想法就是 1学前 里所说的选卡逻辑,并量化出来了,计算卡牌价值的伪代码如下
step1 卡牌价值 = 卡牌等级 + 基础价值bias
step2 如果是两张卡,卡牌价值 = 卡牌价值 x 2
步骤3:若为祝福卡,卡牌价值 = 卡牌价值 × 1.2
step4 如果是两张卡, 卡牌价值 = 卡牌价值 + 1
step5 如果选卡之后羁绊会升级,卡牌价值 = 卡牌价值 + 5
step6 如果卡牌类型是祈福, 卡牌价值 = 卡牌价值 + 祈福补偿
step7 如果卡牌类型是经验, 卡牌价值 = 卡牌价值 + 经验补偿
其中,祈福和经验补偿这样来设计,秒伤推荐比>=2的时候,祈福补偿=1000,这样其他秒伤牌就不会被选到;同理,当秒伤推荐比小于某个值比如1的时候,让祈福补偿为-1000,这样祈福牌就不会被选到。
其中,基础价值bias是为了平衡双卡算法的,step4 +1的想法是因为双卡有一个增加羁绊的好处。
计算完每一张卡的价值后,选择价值最大的那张卡。
3.2测试猫
有了核心的选卡逻辑,后面就是用程序来自动化,我用到的工具是 测试猫,需要电脑连接安卓手机,JavaScript语言。
上手超级简单,我一个没接触过java的人10分钟就学会了。大家稍微看一下,很快就学会了。这个环节也是我乐趣最大的一个阶段,我写了我人生当中第一个游戏脚本。
高阶
经过阶段3,那么这个游戏已经是一个放置游戏了。那么乐趣就回归到如何更合理的选卡,这就成为一个数学建模游戏。以下是一些我的头脑风暴,还没有入手。主要是懒得动脑想公式,想用强化学习来做。
4.1数学模型构建
4.1.1目标函数
这个游戏的核心其实,怎么选卡使得秒伤最大,这个秒伤还不是当期的秒伤最大,还包括了未来至游戏结束内的秒伤最大,并且该秒伤要大于推荐秒伤。
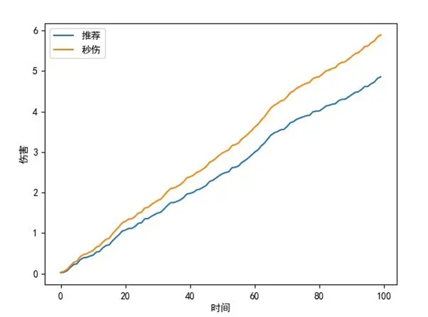
可以在坐标轴内对秒伤和推荐秒伤画两条曲线,纵坐标是伤害,横坐标是时间

如图所示,橙色代表秒伤曲线,蓝色代表推荐曲线。如此一来,游戏的目标能够被设定为使这两条曲线之间的面积达到最大化。
max loss = 求和 Dy(t, pi) - Ds(t)
其中,Dy(t, pi)代表在t时刻,当采取选卡策略pi时所对应的秒伤;Ds(t)则表示t时刻的推荐秒伤。
有约束条件s.t. Dy(t, pi) >= Ds(t),即保证在过程中保证秒伤不低于推荐
4.1.2网络及输入输出
Dy(t, pi)的函数形式考虑用全连接网络就够了
输入选卡时三张卡的信息,已有的这堆数据,如下图

可能还需要技能加点数据和时间数据。
技能加点不好归一化,可以考虑借鉴transformer里面的embedding的做法,一种技能一个等级视作一个类别,然后建立一个查询table。但是也可以先不管加点,视作统一的加点来做这个模型。
加入时间数据是考虑到推荐秒伤可能在某些时间点暴涨
结语
我们是游戏的主导者,切不可沦为游戏的附庸。愿大家始终保有学习的热情,持续奋进,生命无比宝贵,切莫迷失在浅薄的欲望泥沼里。
另一个幸存者新手攻略
一、第一步开局
找经验或祈福尽量追到4/4(现在开始马上停手)
要是没有这俩怎么办呢?尽量找等级高的卡,最好每个羁绊凑个2/2,这样稳定过前期。
第二步中期选择
这时候基本稳住局面了(没稳住的出门右转,下一把??)。一般现在分情况讨论卡片选择。
第一种情况:大优势,指秒伤是推荐伤害1倍以上(这种一般都是前面脸比较好的),这时候我们尽量选祈福,副选经验,不然后期几分钟可能打不过。
第二种情况:均势或者小劣势,指秒伤略高于或低于推荐伤害。这种情况千万不要选祈福和经验,不然逃不掉暴毙的命运,尽量凑羁绊,把伤害羁绊追9/9。(大多数情况都能稳住)
第三步收尾阶段
这个时候对于前期没星星的新玩家来说还是有很大难度的(大佬请自行绕路??)推荐伤害涨的很快,估计通关要40w左右的秒伤。能不能顶住这个时期就要看你中期运营的经验和祈福点没点上去了,最少祈福9/9,经验4/4。这是能通关的。(一把实在过不去就多试几次)
二、关于星星的选择上
有十五颗星就先点收获(这个特别重要)
剩余零散的星就把每个属性点一些
30星了就点分身上,这个公测感觉祝福是真被砍废了(尽量通关没压力了再点)。
升星小技巧,打到第五关一直刷这一关,目前第一星星那个就是这么操作的。
游戏亮点
星星:天赋点&等级,用于提升属性与技能;
金币:抽怪用,怪够的时候尽量不用;
体力:不是一直输基本上用不完;
离线经验指的是用于提升星星等级所需要的经验。
猜你喜欢
更多>- 围观短剧app大全
- 看广告赚收益最好的平台2025
- 挣钱最快的小游戏大全
- ps3模拟器游戏盒子新版本
- 好玩的多人联机游戏
同类最新
更多>游戏排行
更多>


